圓柱齒輪流量計正反方向應用
摘要:結合實際工作, 對圓柱齒輪流量計正反兩方向進行測試, 通過實驗數據, 按照一定的判定方法, 對比正反方向使用情況下的儀表線性、平均儀表系數K值, 觀察其是否存在不一致, 進而得出同一圓柱齒輪流量計在兩種方向下的區別, 為計量的準確程度和可靠性提供了參考。
0、引言:
圓柱齒輪流量計屬于容積式流量計的一種, 適用于中高黏度液體介質, 其準確度通常能達到或優于0.5級, 量程比***大時有1000∶1, ***小時也有250∶1, 可廣泛應用于化工、石油、醫藥、電力等領域
圓柱齒輪流量計的使用理論上無方向性要求, 即流體無論從哪個方向流入, 都對流量計的儀表準確度不構成影響, 但實際上經過一段時間后, 流量計在正反方向使用下可能會出現明顯的變化, 主要表現在平均儀表系數的變化和正反方向儀表準確度的不一致。那么在正反方向準確度一致的情況下我們采用哪個系數呢?在正反方向準確度不一致時, 我們又要采用哪個系數呢?下面我們將對此進行初步研究。
1、工作原理與結構:
圓柱齒輪流量計內部結構如圖1所示。圓柱齒輪流量計是以嚙合齒輪為原理的流量計量儀器


圖1 圓柱齒輪流量計內部結構
1.密封槽;2.定位銷;3.軸;4.齒輪;5.殼體;6.插座;7.放大器;8.殼體上蓋
2 檢測設備及條件
1) 大氣壓:101750Pa。
2) 介質:10#航空液壓油。
3) 檢定裝置:航空液壓油流量標準裝置, 不確定度為0.05% (k=2) 。
4) 被檢表型號與編號:德國VS公司VS04EPO12V, 編號分別為020和285。
5) 正方向:使用過程約定某一方向為正方向, 其平均儀表系數記作K1;反方向:約定與正方向相反的方向為反方向, 其平均儀表系數記作K2。
3、數據處理及分析:
3.1、建立相對誤差的計算模型:
1) 采用相對誤差的方法來判定。計算公式如下:


式中:δ1為正方向相對誤差;δ2為反方向相對誤差
判定規則1:若流量計正反方向儀表準確度一樣, 則認為使用過程中無方向性要求。
判定規則2:如果流量計正方向相對誤差δ1和反方向相對誤差δ2同時滿足正方向儀表準確度所要求的***大允許誤差范圍, 或同時滿足反方向儀表準確度所要求的***大允許誤差范圍, 則當正反方向儀表準確度一致時, 平均儀表系數可任取任一個。
判定規則3:如果流量計在正方向使用下的儀表準確度優于反方向使用下的儀表準確度, 在不明確方向情況使用時, 則取反方向儀表準確度為該流量計的等級, 此時只需考慮δ1、δ2是否滿足反方向儀表準確度所要求的***大允許誤差范圍, 若滿足平均儀表系數可任取一個;反之則取正方向儀表準確度為該流量計的等級, 此時只需考慮δ1、δ2是否滿足正方向儀表準確度所要求的***大允許誤差范圍, 若滿足平均儀表系數可任取一個。
2) 平均儀表系數K和儀表線性EL的計算公式


式中:i=1, 2, ……, 5;K為平均儀表系數;EL為儀表線性;下文中EL1為流量計正方向儀表線性, EL2為流量計反方向儀表線性。
3.2、實驗:
3.2.1、編號020流量計:
1) 實驗數據
表1 正方向使用數據


表2 反方向使用數據


2) 計算分析
表1和表2按3.1中公式得出下列計算數據:


從上式中得出, 編號020流量計正方向使用下的平均儀表系數為2538.8L-1, 儀表線性為0.17%, 按照JJG 667—1997《液體容積式流量計檢定規程》儀表準確度為0.5級;流量計反方向平均儀表系數為2540.3L-1, 儀表線性為0.23%, 儀表準確度為0.5級
上述規程規定:“0.5級儀表***大允許誤差為±0.5%。”根據3.1中的判定規則1和2, 得出編號流量計020正方向相對誤差δ1=0.059%和反方向相對誤差δ2=-0.055%都滿足0.5級表允許的***大允許誤差范圍 (-0.5%≤δi≤0.5%, i=1, 2) , 又正反方向儀表準確度一致, 所以流量計在使用過程中無方向性要求, 即選取任一方向使用儀表準確度都是0.5級, 而且平均儀表系數K值可從2538.8L-1或2540.2L-1中任意選取一個。
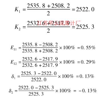
3.2.2、編號285流量計:
1) 實驗數據
表3 正方向使用數據


表4 反方向使用數據


2) 計算分析
表3和表4按3.1中公式得出下列計算數據:


從上式中得出, 編號285流量計正方向平均儀表系數為2522.0L-1, 儀表線性為0.55%, 儀表準確度為1.0級;流量計反方向平均儀表系數為2525.3L-1, 儀表線性為0.29%, 儀表準確度為0.5級。
根據3.1中的判定規則 (3) 得出, 在不明確使用方向時流量計為1.0級表。由于其正反方向儀表準確度不一致, 所以只需觀察δ1和δ2是否滿足1.0級表的***大允許誤差即可。觀察可知正方向相對誤差δ1=0.13%和反方向相對誤差δ2=-0.13%都滿足1.0級表允許的***大允許誤差范圍 (-1.0%≤δi≤1.0%, i=1, 2) , 所以取儀表系數K=2522.01/L或K=2525.3L-1都可以。在明確方向使用下, 若正方向使用則流量計的儀表準確度為1.0級, 平均儀表系數K=2522.0L-1, 若反方向使用則流量計的儀表準確度為0.5級, 平均儀表系數K=2525.3L-1。
3.3、數量統計:
我們統計近年來所標定過的圓柱齒輪流量計, 有40臺正反方向使用無影響的, 也有14臺流量計有影響。
4、結論:
造成上述情況的原因主要有:1) 由于容積式流量計結構形式和機加工技術的限制, 測量元件與殼體內腔構成的計量室不可能做到嚴格密封, 否則將會出現測量元件卡死, 使流量計無法工作的現象, 故計量室與測量元件存在間隙是必然的。有間隙存在, 就會導致流體從間隙漏過而未經計量的滑流量存在, 滑流量是容積式流量計產生固有誤差***主要因素。滑流量除與測量元件和計量室的間隙有關外, 還與流體的密度、黏度等參數有關
通過本文的實驗數據, 我們得知圓柱齒輪流量計在使用過程中, 雖然自身在出廠時沒有方向性要求, 但是我們在使用過程中長期地磨耗以及其他環境的影響, 會造成流量計正反方向儀表線性和平均儀表系數不一致, 建議約定方向使用或正反方向同時檢定。
