什么是螺旋轉子流量計 減少油品裝船計量精度異
無脈動、低噪音、振動小、壽命長, 準確度等級高、高可靠性、流量范圍大等優點, 使UF-Ⅱ螺旋轉子流量計 (以下簡稱“UF-Ⅱ”) 廣泛用于石油、化工、碼頭等行業的油品貿易計量和管理控制。本文項目選用了2臺LB834-112型表, 安裝于某石化成品油碼頭5#躉船。
一、UF-Ⅱ與油品出廠數采系統的結合:
整個數采系統由操作站、控制站、報表機、躉船顯示和網絡通信部分組成, 如圖1所示。


圖1 UF-Ⅱ與油品出廠數采系統框圖
操作站硬件:DELL服務器PE2500P3/933/512M/36G/19。
軟件:WNT4.0、IFIX2.6 (有限點, 300點) 、VB6.0、Access數據庫、Oracle數據庫、計量監控操作應用系統。
貿易交接用CMF:Micro Motion公司D600配9739。
數采控制站以GE-FANUC-90 30PLC為基礎組成。選PLC是其系特殊體系結構的工業計算機, 經過30多年發展, 功能已有極大提高, 不僅能實現邏輯判斷、計時、計數等順序控制功能, 還具有算術運算、對模擬量進行控制等功能。它面向控制過程及面向問題的編程語言, 既保持了傳統控制線路的清晰直觀特點, 又顧及了大多數電儀技術人員的讀圖習慣及微機應用水平。同時PLC專為惡劣工業環境設計, 能在電噪聲很強, 電磁場干擾、機械振動、溫濕度變化都很大的環境中使用。
控制站以模件IC693APU300接收UF-Ⅱ脈沖。其他模件有:CPU模件IC693CPU360、協處理模件IC693PCM311、以太網卡轉換器IC649AEA102、以太網接口模件IC693CMM321、模擬量輸入模件IC693ALG223、開關量輸入模件IC693MDL646、電源模件IC693PWR321等;軟件有LOGICMASTER90編程軟件, (VER9.02) MEGABASIC等。系統與CMF通信用RS-485方式, 標準Modbus協議, RTU模式;通信參數為:9600b/s、8位數據位、1位奇校位、1位停止位, 按周期輪詢采集累計量、瞬時流量、密度、溫度信號。
功能和特殊要求:計量管理系統從控制站讀入現場實時數據, 進行記錄、處理與監控操作, 以及數據登錄等, 實時性強, 系統操作權完全由應用系統控制, 不允許隨便退出應用系統進入操作系統。2#操作站運行的躉船顯示程序和批量裝船語音報警程序在系統中功能非常重要, IFIX通過后臺功能定時調用其運行。實時數據記錄在該機的歷史數據庫中, 批量裝船實時數據記錄在該機的Access數據庫中。該機安裝Oracle數據庫兼做服務器, 與1#站互為備用, 各監控操作畫面相同。與企業互聯網用戶機交換的數據存在1#站的Oracle數據庫中, 并與上級網通信。
二、UF-Ⅱ使用的三個注意點:
UF-Ⅱ是通過一對轉子進行測量的, 要求被測介質純凈度高, 應安裝合格的過濾裝置。在非連續使用場合再次使用時, 須注意氣穴等增大計量誤差。若介質可能氣化發生氣液兩相時, 氣體分離器是保證準確計量的必備裝置。為取信用戶, UF-Ⅱ測量點應盡量靠近油船, 避免表下游管線儲量引發異議。
1. UF-Ⅱ用于成品油計量中磁耦合問題
UF-Ⅱ有電子、機械兩種計數表頭供選, 轉子運動經傳動部件磁耦合給變換單元, 保證儀表密封。變換單元將轉子旋轉數換算為流量當量傳遞給計數單元, 經計數單元前置電路整形處理, 形成計數脈沖, 表頭累積顯示, 也可遠傳。這里需要強調兩種表頭磁耦合的區別:電子表頭的信號耦合由傳動板上嵌入的小磁石承擔, 傳動板與探頭的間隙僅1mm, 其間充滿被測介質;機械表頭配套的內外耦合磁鋼間間隙也很小, 但在密封腔體外, 其間無介質。若介質中無鐵磁物質, 兩者無優劣之分。
可成品油因加工與輸儲容器內壁腐蝕, 其中懸浮有視力不能分辨的鐵屑微粒。盡管配套過濾器可防止固體物質卡住轉子, 且濾網孔很小, 但鐵微粒仍可通過。此時用電子表頭, 油品進入腔體夾帶的鐵微粒便可能被磁石吸引, 日久便聚集到傳動板上磁石部位很小間隙里, 造成該部位磨損損壞。此現象筆者尚未見過報道, 希望能引起重視。因此, 介質中若有鐵磁物質, 宜用機械表頭。
2. UF-Ⅱ采用石墨軸承需注意保護
在計量汽油等低黏度介質時, 若用滾珠軸承會因嚴重磨損而影響流量計的準確度等級和壽命。但石墨軸承具有優良的耐磨性, 在測量低黏度介質時性能較滾珠軸承優越得多。另外, 介質中含有微粒會影響滾珠軸承流量計的準確度等級, 而對石墨軸承儀表影響很小。但是, 石墨軸承須在油質環境里運行, 若置身氣體, 軸承和軸之間則會因為高速旋轉而快速磨損甚至破碎。所以, UF-Ⅱ運行時腔體內必須充滿介質使石墨軸承得到保護。若UF-Ⅱ用于裝船或裝在管線末端, 送油結束后, 若儀表出口無相應背壓維持存油, 會使計量腔內進入空氣, 易致石墨軸承磨損破碎。在儀表出口加裝向上高于計量腔的彎管, 保證腔內始終充滿介質, 是簡單卻十分有效的措施。工藝需要對輸油管線用水頂線處理時, 水不宜直接通過流量計, 浸入石墨軸承間隙的水可能會對軸承造成損傷。用蒸汽試漏、吹掃更是不允許的。
3. UF-Ⅱ與GE公司PLC的匹配
UF-Ⅱ電子計數單元輸出 (4~20) m A的電流脈沖, 可直接按圖2a連接到PLC脈沖模件IC693APU300, 只需注意調整電阻R, 使脈沖的高低電平20R與4R匹配PLC的門檻電壓即可。其他積算設備類似。
在選用機械式表頭配無接點脈沖發信器PG30DEP時, 情況要復雜一些。GE公司PLC脈沖模件IC693APU300的輸入阻抗很低, 簡單按說明書圖2b接線, 則送到PLC的脈沖幅值大大降低, 不及PLC的門檻電壓, 系統無法取到有效信號。按兩者I/O特性設計的接口電路如圖3所示, 圓滿解決了機械計數部件PG30DEP到脈沖模件IC693APU300的信號匹配問題。


圖2 接線示意圖


圖3 PG30DEP到GE-PLC脈沖輸入模塊的信號匹配電路
表1


三、UF-Ⅱ與質量流量計的數據比對結果
1. UF-Ⅱ計量結果的形成
我國油品交接采用空氣中的質量 (噸) , A廠在質量流量計檢定時已讓技術機構對流量系數F進行了空氣浮力修正。Micro Motion的D600配9739變送器的密度測量準確度為0.001kg/m3, 也是高準確度在線密度測量儀。油船裝量從數百到數千噸, ***長達十多個小時。就密度溫度而言, 系統所采數據的平均值是總體期望值的無偏有效估計量。因此, UF-Ⅱ輸出的脈沖經PLC接收累計后, 與儀表系數及系統取自CMF的平均工況密度ρ工況平均值、平均工況溫度T平均運算, 形成UF-Ⅱ的工況體積量、質量量與標況體積量。
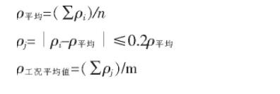
ρ工況平均值 (kg/m3) 是系統讀取CMF測得介質密度ρ剔除粗差后的算術平均值, 算法如下:

式中:i=1……n;j=1……m;m<n。式 (1) 、式 (2) 為極端情況考慮, 可省略。
T平均計算方法與ρ工況平均值相同。各手段計量結果比對報告形式如表1所示。表1中符號定義為:
M:質量流量計計量值 (t) ;V:從鍵盤輸入分析密度、油罐前后液位、罐號、罐油溫等, 系統計算的人工檢尺 (罐量) 發油量 (t) ;QM:UF-Ⅱ測量的工況體積QV用ρ工況平均值換算后的介質質量 (t) ;用T平均換算后的介質標況體積QN (m3) 。
表2


2. 比對驗證結果
系統于2015年3月到5月重點進行了107個批量比對, 因篇幅所限, 僅將CMF與UF-Ⅱ換算的質量量比對數據列于表2。CMF與UF-Ⅱ的測量示值誤差均為±0.2%, 比對結果得到了驗證。
四、結束語:
UF-Ⅱ的Qm對CMF的驗證, 以及QV、QN對艙容表的驗證, 對保證油品計量準確, 維護企業信譽起到了積極作用。UF-Ⅱ投用一年多來, 在該躉船的油品交接中, 幾乎未發生計量異議。
