質量流量計法在油罐車容量檢測中應用的可行性
0 引言
汽車油罐車是裝運汽柴油的重要工具。它既是油品運輸工具, 經計量檢定合格后又可以用于油品交接、貿易結算的計量器具, 屬于強制檢定計量器具。JJG 133-2016《汽車油罐車容量》檢定規程中規定汽車油罐車容量檢定一般采用容量比較法或流量計法。容量比較法使用二等金屬量器作計量標準器對油罐車罐體頻繁進行注水和排水, 采用人工讀取數據, 工作量大, 效率低。為提高工作效率, 降低勞動強度, 確保量值溯源準確可靠, 我院采用重復性優于0.04%艾默生質量流量計研制成了一套符合檢定規程要求的油罐車容量檢測裝置。大大降低檢定人員的勞動強度, 提升了原有計量標準裝置的技術層次。
1 質量流量計法檢測裝置結構原理
我院質量流量計法油罐車容量檢測裝置由水源系統、水泵、準確度等級為0.1級定流量點使用時重復性不低于0.05%的艾默生質量流量計及前后直管段、流量調節系統、流量三通換向系統及溫度等數據自動采集和控制系統組成。主標準器為準確度等級為0.1級的艾默生質量流量計和氣夜分離器及相應的閥門組成, 標準管段由前后直管段流量控制和調節設備組成。要求電磁換向系統的換向時間足夠短, 正反行程的時間差不超過0.02s, 盡可能減少因換閥滯后引入的測量誤差。流量計控制系統由計算機控制系統、信號采集及數據處理系統、存儲設備及打印設備、專用檢定軟件和罐容表計算后處理軟件組成。圖1為質量流量計法汽車油罐車容量檢測裝置系統原理示意圖。

圖1
2 采用質量流量計法的試驗、相應的不確定度評定及驗證
2.1 試驗條件
本次汽車油罐車容量檢測試驗在本院容量實驗室內進行, 室內地面堅實平整, 氣溫18.5℃, 檢測介質為儲存水, 溫度恒定。為了保證液體處于滿管狀態, 試驗流量選用16m/h且標準裝置上必須包含換向器等自動結構控制注水的啟停及換向。汽車油罐車標稱容量為13500L。
2.2 數據處理
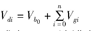
(1) 油罐車容量檢定裝置的計量性能要求為擴展不確定度不大于0.25%, 流量點使用時重復性不低于0.04%。罐車20℃時的各檢測點容積Vdi為:


式中:Vb0—油罐車標稱75%容積檢定點20℃時容量。
每次 (各容量點) 注入油罐內的水20℃時容積值Vgi按下式計算:


式中:β2—罐車容量的體脹系數, β2=33×10℃;βw—水在tgi-tbi范圍內的體脹系數, βw=2×10℃。
(2) 流量計的不確定度為:1×10, 包含因子k=2。


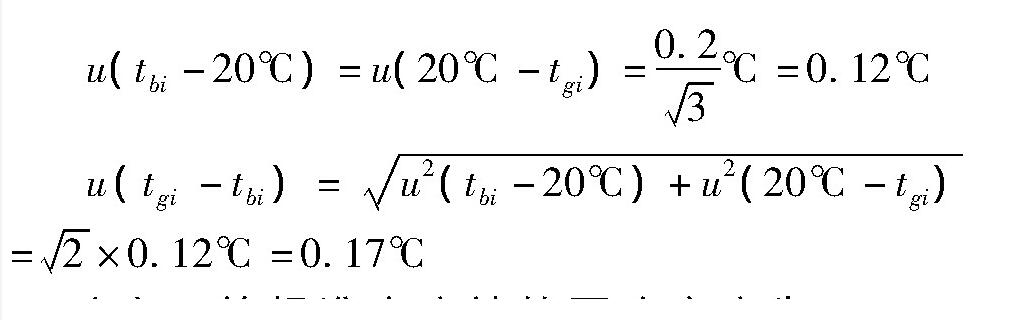
(3) 測量使用的玻璃溫度計分度值為0.1℃, 準確度為0.2℃, 均勻分布則:


(4) 二等標準密度計的不確定度為:1.5×10, 包含因子k=2。


除溫度等環境條件引入的不確定度外, 在檢測過程中引入的不確定度主要還有:
(1) 每次注水過程中累加的標準器溯源不確定度u (Vb累加值) ;
(2) 每次讀取空高值時, 肉眼分辨力引入的高度處理值的不確定度u (Vg空高) , 分辨力固定為1mm, 成矩形分布, 則:

流量計法中密度計對每次注水引入的不確定度。則流量計法各檢測點容積的合成標準不確定度各為:


(5) 兩次測量的數據如表1:
表1 下載原表


表1中tBi為流量計處水溫, tgi為油罐內水溫, Vdi為20℃時各測量點容量值, U為擴展不確定度, Ur為相對擴展不確定度且均小于0.25%, 重復性小于0.05%。
4 結束語
用質量流量計法裝置檢測無須容量法繁瑣的蓄水和注水過程, 尤其是75%標稱容量的一次性注水完成, 節省了大量時間和人力。從以上實際試驗可以看出, 質量流量計法用于油罐車容量檢測的擴展不確定度與重復性均滿足檢定規程要求, 實際應用切實可行。
